이번에는 신호와 시스템에서 신호의 Periodic과 Aperiodic Signal에 대해서 배워보도록 하겠습니다.
Periodic & Aperiodic Signal에 대해서 배워보기 이전에 Countinuous & Discrete time signa에 대해서 짚고 넘어가도록 하겠습니다.
Continuous&Discrete-Time Signal


외의 그림에서 왼쪽 2개의 그림은 연속 시간 신호(Continuous-Time Signal)에 대한 예시이고,
오른쪽은 이산 시간 신호(Discrete-Time Signal)에 대한 예시입니다.
Continuous-Time Signal의 경우에는 시간의 모든 순간에 정의된 신호입니다. 즉, 시간이 연속적으로 흐르면서
신호의 값도 연속적으로 변하는 신호를 의미합니다.
Continuous-Time Signal의 예시로는 아날로그 오디오 신호, 전압이나 전류 같은 물리적 신호를 들 수 있습니다.
한마디로, 무한한 시간에 대해서 신호의 값을 측정할 수 있으며, 신호의 형태는 끊김없이 변화하는 신호입니다.
그렇다면 Discrete-Time Signal은 무엇일까요?
Discrete-Time Signal은 특정한 식나 점들에서만 정의된 신호이며, 시간이 이산적인 값들(정해진 간격의 시간)로만 측정되는 신호입니다.
Discrete-Tiem Signal의 경우에는 컴퓨터에서 처리되는 신호를 생각해볼 수 있을 것 같습니다.
한마디로, 연속 시간 신호를 일정 간격으로 샘플링하여 얻는 신호로, 시간이 특정한 지점에서만 정의된다는 것을 알 수 있습니다.
쉽게 이해할 수 있는 방법이 무엇일까 생각해봤을 때, Continuous-Time Signal은 음악을 듣는다고 할 때 음악의 소리는 시간의 모든
순간에 끊임없이 연속적으로 변화하게 되고, Discrete-Time Signal은 음악을 녹음하여 디지털 형식으로 저장하게 된다면, 시간의 특정 지점에서 샘플링된 데이터가 이산 시간 신호가 되는 것 입니다.
이제 Discerete&Continuous-time signal에 대해서 알아봤으니 Periodic&Aperiodic Signal에 대해서 알아보도록 하겠습니다.
Periodic&Aperiodic Signal
주기신호는 일정시간후에 신호값이 반복되는 신호를 이야기합니다.
이전에 파동함수에 대해서 배우거나 Sinusoidal함수 그리고 $sinx$및 $cosx$함수를 배울때,
주기와 frequency 그리고 angular frequency에 대해서 배우며 다음과 같은 관계식을 배운 기억이 나실 것 입니다.
$f=\frac{1}{T}$, $w_{0}=2 \pi f$, $w_{0}=\frac{2\pi}{T}$
그리고 주기신호는 다음 관계를 만족합니다. $x(t)\; = \; x(t+nT)$, $n=1,2,3,4...$
위의 관계식을 가지고 저희는 Periodic인지 Non-periodic인지 구별할 수 있습니다.
가볍게 이해를 위해서 다음 예시를 통해서 Periodic과 Non-periodic을 구별해보겠습니다.
$x_{1}(t)\; = \; cos\pi t$ → $w_{0}= \pi = \frac{2\pi}{T_{1}}$ → $T_{1}=2[sec]$
위의 예시를 통해서 보시면 주기성을 쉽게 판단할 수 있습니다. 또한 위의 주기를 $x(t)\; = \; x(t+nT)$에 대입했을 때
만족한다는 것을 알 수 있습니다. 여기서 T가 유리수여야 한다는 조건이 붙습니다.
유리수가 무엇인지 잊으신 분들은 아래의 수의 체계를 참고해보시기를 바랍니다.

여기서 궁금한게, 주기 T가 왜 유리수여야 하는 것 일까요?
유리수여야 하는 이유는 신호가 반복되는 패턴을 갖는지 아닌지에 따라 다릅니다.
유리수는 일정하게 반복되는 패턴을 갖고 있는 수 입니다.
예를 들어서, 정수가 아닌 유리수에서 유한소수를 보면 $\frac{1}{3}$이 있습니다.
$\frac{1}{3}$은 0.3333...으로 순환되기 때문에 똑같이 반복되는 패턴을 가지게 되기 때문입니다.
일정하게 반복되는 패턴을 가지고 있어야 더하거나 곱해졌을 때, 일정한 주기가 반복된다는 것을 알 수 있겠죠?
여기서 또 궁금증으로, 그렇다면 두 가지의 신호가 더해진 형태는 어떻게 주기성을 판단해야 할까요?
$x_{1}=cos\pi t$, $x_{2}=sin\frac{1}{4}\pi t$→ $x_{3}=x_{1}+x_{2}$라고 한다면,
$x_{1}=cos\pi t$ → $T_{1}=2[sec]$
$x_{2}=sin\frac{1}{4}\pi t$ → $T_{2}=8[sec]$
위에서 두 신호의 합은 각 신호의 주기의 비가 유리수로 표현될 경우에 한하여 주기 신호가 됩니다.
$\frac{T_{1}}{T_{2}}=\frac{l}{k}$ → $\frac{l}{k}$는 유리수
지금까지 Periodic & Aperiodic Signal을 구분하는 방법에 대해서 알아봤는데, 마지막으로 정리해보겠습니다.
주기 신호인지 아닌지는 두 가지를 체크해보면 대부분을 거를 수 있다고 생각됩니다.
첫 번째로, 함수 그 자체를 보는 것 입니다. 예를 들어서, $cos(x)와\; sin(x)$는 주기함수라는 것을 모두가 알 수 있습니다.
하지만 $e^{x}$함수는 누가봐도 주기함수가 아니라는 것은 알 수 있을 것 입니다. 여기서 $e^{jwk}$는 주기함수일까요 아닐까요?
$e^{jwk} = cos(wk)+jsin(wk)$이므로 $sin$과 $cos$함수로 표현되므로 주기성을 가지게 됩니다.
두 번째로, 주기성을 갖는 함수라면 위에서 했던 것 처럼 주기 T가 유리수인지 판별해봅니다. 만약에 곱의 형태라면 합의 형태로
변형시키고, 합의 형태의 경우 아래와 같이 두 주기의 비가 유리수인지 파악합니다.
$x_{1}=cos\pi t$ → $T_{1}=2[sec]$
$x_{2}=sin\frac{1}{4}\pi t$ → $T_{2}=8[sec]$
$\frac{T_{1}}{T_{2}}=\frac{l}{k}$ → $\frac{l}{k}$는 유리수
만약에 여기서 아래와 같은 곱의 형태라면 어떻게 해야할까요?
$x_{3}=2x_{1}(t)x_{2}(t) \; = \; 2cos\pi t sin\frac{1}{4} \pi t$
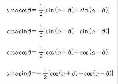
위와 같은 형태는 삼각함수 공식을 이용해서 합의 형태로 변경한 이후에 저희가 아는 합의 형태로 만들고 계산하시면 됩니다.

$\frac{1}{2}*2[sin(\frac{5\pi}{4}) \; - \; sin(\frac{3\pi}{4})]$ = $sin(\frac{5\pi}{4}) \; - \; sin(\frac{3\pi}{4})$
$T_{1}=\frac{8}{5} [sec]$ $T_{2} = \frac{8}{3}[sec]$
∴ $T_{3}=8[sec]$
이제 마지막으로 왜 주기 $T_{3}=8[sec]$이 되는지 궁금하실 것 같아서, 이 부분에 대해서 가르쳐드리고 마치도록 하겠습니다.
$\frac{8}{5}$와 $\frac{8}{3}$의 비가 유리수라는 것은 아실 수 있습니다. 그렇다면 여기서 주기 $T_{3}$를 구하는 방법은,
최소공배수를 통해서 찾을 수 있습니다. 그 이유는 $T_{1}, \; T_{2}$의 주기 다를 때, 두 신호가 동시에 원래 상태로 돌아오는 최소 시간을
구해야 하기 때문입니다. 즉, 두 신호가 각각의 주기를 가지고 반복되더라도, 두 신호가 동시에 원래 값으로 되돌아오는 시간이 필요하고,
이 시간이 최소공배수이기 때문입니다.
$LCM(\frac{a}{b}, \frac{c}{d}) \; = \; \frac{LCM(a,c)}{GCD(b,d)}$
∴ $\frac{LCM(8, 8)}{GCD(5,3)}$ = $\frac{8}{1}$ = $8$
지금까지 Periodic과 Aperiodic signal에 대해서 배워봤습니다.
직접 교재의 문제를 풀다보니, 수업에서 쉽게 생각했던 부분이 잘 풀리지 않거나 감이 안잡히는 부분이 종종 있었기 때문에
Periodic과 Non-periodic을 구별하는 부분에 대해서 자세히 살펴봐야 할 것 같다는 생각으로 정리하게 되었습니다.
다음 시간에는 Energy signal and Power signal 그리고 time transformation에 대해서 배워보도록 하겠습니다.
감사합니다.
'전자전기공학 > 신호와시스템' 카테고리의 다른 글
| [신호와 시스템][Time Transformation] (2) | 2024.11.14 |
|---|---|
| [신호와 시스템][Elementary Signals] (8) | 2024.11.12 |
| [신호와 시스템][Energy and Power signal] (0) | 2024.11.04 |